Unveiling Babymetal's Identities: A Rare Look Out Of Costume
Who is BABYMETAL out of costume?
Read JournalDelivering clear, reliable news and essential information for today.
Who is BABYMETAL out of costume?
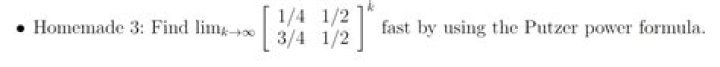
Read JournalWhat is the Putzer Power Formula?
Read JournalWhat is a "cute elf face"? A "cute elf face" is a term used to describe a face that is considered to be attractive and appealing, with features that are o...
Read JournalCan you find villagers on boat tours? Absolutely!
Read JournalWhat is a picture of a Ferrari Enzo?
Read JournalWhat is the significance of Mykelti Brown's wedding dress? Mykelti Brown's wedding dress was a beautiful and unique gown that reflected her pers...
Read JournalWho is Dr. Anthony Salzarulo?
Read JournalWho is Benson Boone and what are his Utah ties?
Read JournalWhat is an Obituary? An obituary may sometimes be known as a death notice and is a short article giving notice of a person's death and often includes...
Read Journal